From multiple choice to handwritten equations, from chemistry diagrams to long-form essays—Graidable handles diverse assignment types across all disciplines with a single, flexible grading system.
Request Free PilotOne flexible grading system that works across all disciplines and assignment formats
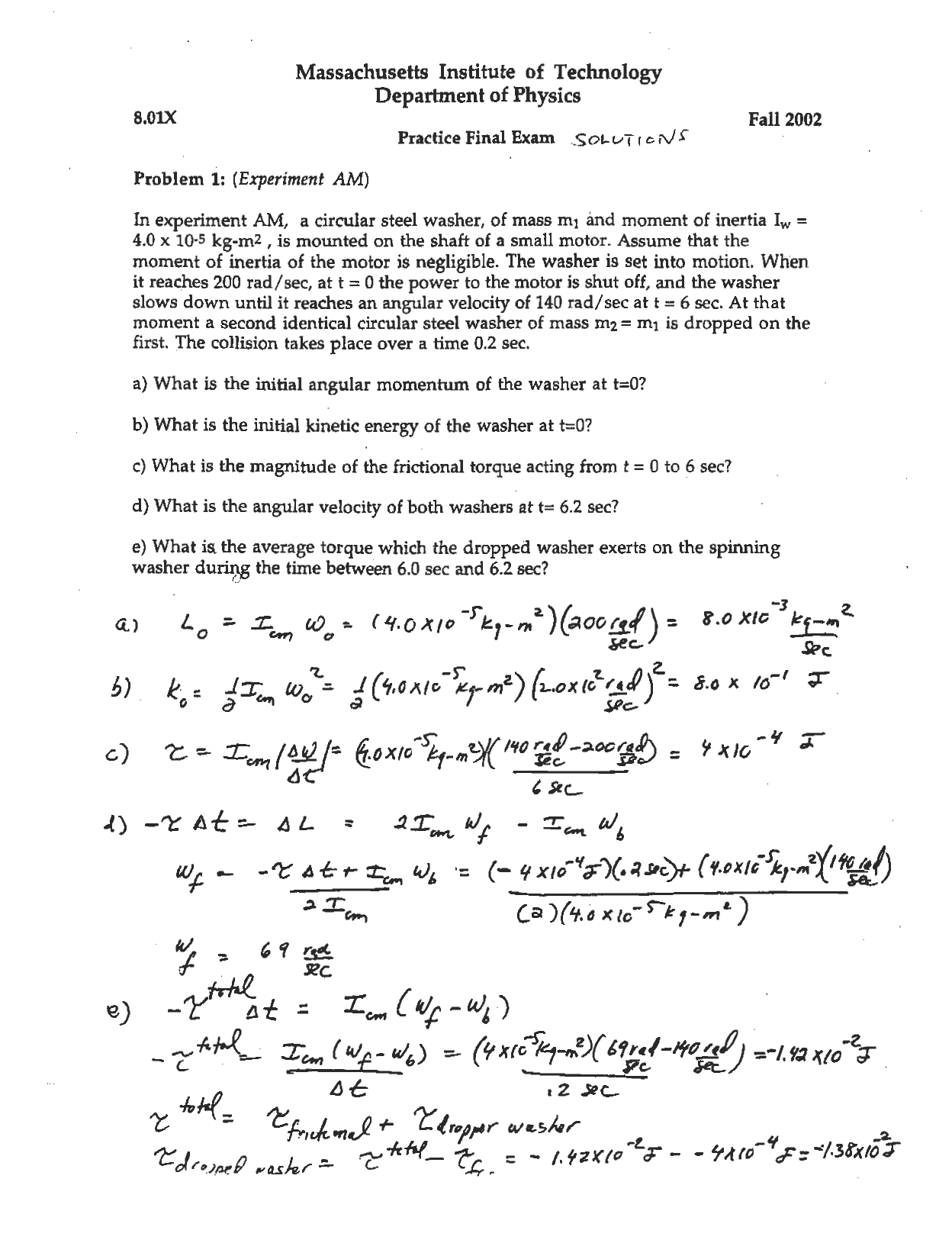
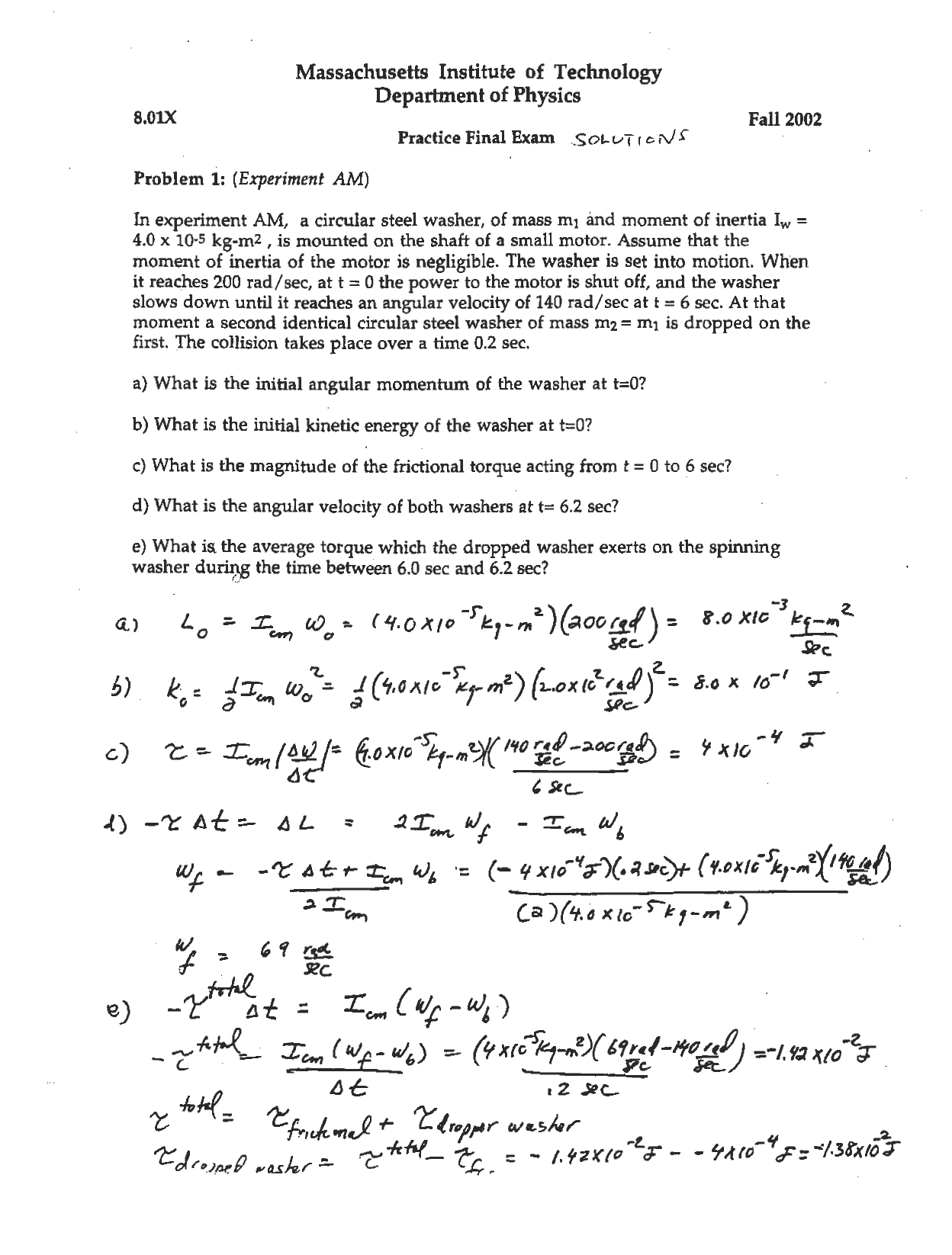
Grade handwritten math, physics problems, and equations with OCR technology that recognizes handwritten text, symbols, and diagrams.


Handle chemistry diagrams, molecular structures, and mathematical notation with OCR and image recognition. While complex diagrams may require manual review, the system effectively processes chemical structures and mathematical expressions.
Grade essays, research papers, and written assignments with rubric-based feedback on argumentation, structure, and writing quality.


Handle short-answer questions, multiple choice assessments, and structured question-response formats with consistent rubric application.
The same flexible grading system works for any discipline—from STEM to humanities. Whether you're grading math problems, chemistry diagrams, essays, or research papers, Graidable adapts to your rubric and grading requirements.
Biology, engineering, computer science, and other technical fields—all use the same flexible grading system with custom rubrics tailored to your course.
Economics, psychology, sociology, and other social sciences—grade essays, research papers, and case studies with the same flexible system.
Start your free 30-day pilot and experience flexible AI grading that handles any assignment type across all disciplines.